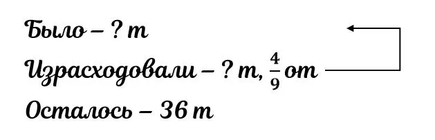
После того как заготовленного на зиму сена было израсходовано на кормление животных, осталось 36 т. Сколько тонн сена было заготовлено на зиму?

1) (часть) — осталось.
2) (т) — было заготовлено.
Ответ: 64,8 т (или т).
1. Какая часть сена осталась?
Все сено примем за единицу (1). Израсходовали .
(всего сена).
2. Сколько тонн было заготовлено?
Мы знаем, что всего сена — это 36 тонн. Чтобы найти целое по его части, разделим число на дробь:
Выделим целую часть:
(ост. 4) (т).
В десятичных дробях: т.
Ответ: было заготовлено 64,8 тонн сена.